尊敬的經紀、投資人會員:
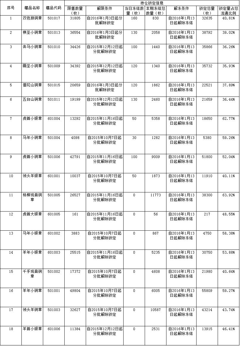
受多重因素影響,近期掛牌藏品交易價格出現較大波動。交易中心陸續接到部分掛牌藏品投資人申請,表示在看好紀念章藏品長期價值及紀念章平臺發展前景的同時,為更好的體現紀念章藏品投資價值與收藏價值,提振市場信心,特向全體投資人會員公開承諾,在已鎖定部分藏品的基礎上,增加凍結藏品的數量。自即日起至2016年1月12日對其持有的線上掛牌藏品進行部分凍結不減持,并將結合具體市場情況進行增持。本中心將于每日收盤后對本公告下列藏品增加鎖定部分進行匯總并及時更新。現將截止今日承諾信息匯總并公示如下:
附:戰略投資人承諾增持鎖定信息表

(注:以上藏品為限售或凍結信息發生變動的,其他藏品在本期內限售和凍結信息未發生變動的,詳見其F10信息。)
寧夏文化藝術品產權交易中心
紀念章交易平臺
2015年8月20日 |